來源:巨靈鳥軟件 作者:進銷存軟件 發布:2017/12/6 瀏覽次數:3674
時段: 2002/05/20 至 2002/06/20
關鍵工作中心 | 需求 負荷 | 總能力 | 能力 超/欠 | 負荷率 | |||
編碼 | 名稱 | 資源代碼及名稱 | 資源單位 | ||||
01 | 織01布 | 機臺1+織01布 | KG | 1500 | 1350 | -150 | 111.11% |
02 | 織02布 | 機臺2+織02布 | KG | 1000 | 1200 | 200 | 83.33% |
03 | 織03布 | 機臺3+織03布 | KG | 1000 | 1200 | 200 | 83.33% |
同時,可以結合機臺平面圖,可以直觀清晰地對機臺排程情況了解。如下圖,我們可以默認機臺在空置時,顯示為白色,而當機臺被安排任務時,顯示為紅色,并標明該機臺接受任務量,當前任務量及任務時間,這樣生管部門就可以了解機臺的實際運作情況,并作出相應的安排。
機臺安排平臺圖

嚴格的生產計劃管理中,應該存在企業生產產能分析、生產排程、生產進度控制等功能,而本系統目前對這些進行控制,可以是較粗線條的。不需要過細考慮,待以后升級再細化。
一個良好企業,其物料管理應具備五大職能:
Ø 適時(Right Time):在需要使用的時候,及時地供應物料,不發生停工待料,也不過早送貨,擠占貨倉及積壓資金。因此何時訂購、何時進料都需要事先進行詳細分析計算,如處理訂購單時間要多長,供應產生產能力多大,供應商運輸交貨時間多長,檢驗收貨時間多久,出現種種異常大致需多久時間等事先分析才可以做到適時。
Ø 適質(Right Quality):廠商送來的物料和貨倉發出的生產物料,品質都符合要求的。進來的物料品質不符合標準,做成的產品同樣難以達到客戶標準,因而降低公司聲譽,影響公司銷售業績。
Ø 適量(Right Quantity):請購的數量要控制適當,不會發生不夠料,也不發生呆料。采購數量不足,引起停工待料影響交期;采購數量過量,影響資金積壓,甚至浪費。
Ø 適價(Right Price):材料的價格要求一個適當的價格。若采購價格要求過低,可能會降低材料的品質,延誤交期損害交易條件,價格過高成本難以負擔,公司產品利潤少競爭力減弱,容易推動市場。
對以上,**公司一般對適時、適質、適量的要求比較嚴格,因此本系統會重點跟蹤這些作用因素。
BOM的定義:
BOM(Bill of Material)叫做物料清單(也叫零件結構表、物料表等),將產品的原材料、零配件、組合件拆解,并將各單項材料依材料編號、名稱、規格、基本單位、供應廠商、單機用量、產品損耗等依制順序記錄下來排列為一個清單,這就是BOM,BOM是最原始的材料依據,也是本系統中最重要的數據模塊。
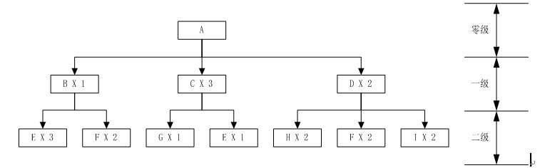
下圖是一個3級的BOM結構,表示產品A由1個B部件、3個C部件、2個D部件組成,其他部件依次類推。A是零級,也就是在這個BOM中是成品,而B、C、D是一級BOM,其它的組成三級,在級的結構中,可以存在嵌套,也即,某個部件,既可以在二級出現,也可以在三級中出現。這是一個通用例子。實際上,**企業的BOM大多是二級或三級結構。也基本上不存在嵌套的情況。

物料清單表現了組裝成最終成品的各分裝件、組件、零部件的原材料之間的結構關系以及每一組組裝件的用量。BOM在系統中的作用可用下圖來描述:
對物料清單,本系統采用縮排式(即多級展開式)。輸出按部件所處的層次往后縮排。
縮排式物料清單
代碼:A001 名稱:XXX 計量單位:件

所謂生產流程在本系統是指在整個生產過程中,生產現場的每個工藝、工作流水甚至生產場地在工作上存在明顯的流轉過程,為了方便控制和管理,我們在本系統將整個實際生產過程用流程的方式管理。考慮**公司的實際情況和為了通用性需要,本系統共分四個生產流程模塊,分別是:織造生產管理,成衣生產管理,領片生產管理,后整管理。
分成以上幾個模塊,一方面是因為在生產過程中,這幾個過程具有明顯不同的生產物征,處理過程如果合在一起會造成系統的復雜,如織造和成衣生產,兩者存在明顯時間順序,而且織造的產品,在成衣生產過程雖屬半成品,但同時也可以做成品(布料)進行銷售。另一方面是因為考慮財務或倉庫的需要,因為由于**生產部門目前分布在不同的廠區,而且各廠區不但生產內部需求,同時還可以接外單加工,考慮簡化系統,也將之分為不同的流程段。
**制衣有限公司的主導業務包括織造生產,即通過采購成紗,組織生產,將紗料進行形態轉換成布料的過程。由于**有自己一個專門的織造新廠,具有一定的生產能力。
遵照OO的分析概念,我們本來想采用用例圖(Use Case)用以提取用戶需求,但一方面由于采用OO的方法成本比較高,另一方面由于客戶對OO思想了解不多,即便采用了OO的表達方式,可能會給我們帶來與客戶溝通上的難度。因此我們在此主要用類似OO的圖 來源:巨靈鳥 歡迎分享本文
上一個文章:什么是BOM
下一個文章:某制衣廠ERP系統需求說明書(四)